Microbiology Lab Final Exam Pdf . micro lab final exam. study with quizlet and memorize flashcards containing terms like which staining technique is used to determine the. the study guide on microbiology's final exam covers the scientific method, starting with making observations,. All of the following are methods that can be used to isolate bacteria from a mixed. final exam study guide chpt. final exam questions for medical students 2019/2020. General microbiology and general bacteriology. general microbiology biol 4501 8 essay questions answer all parts of the following questions completely. Study guide questions · how are microbes beneficial and how are they harmful? study with quizlet and memorize flashcards containing terms like benefits of microorganisms, fermentation, antonie.
from www.studocu.com
All of the following are methods that can be used to isolate bacteria from a mixed. study with quizlet and memorize flashcards containing terms like benefits of microorganisms, fermentation, antonie. the study guide on microbiology's final exam covers the scientific method, starting with making observations,. Study guide questions · how are microbes beneficial and how are they harmful? study with quizlet and memorize flashcards containing terms like which staining technique is used to determine the. final exam study guide chpt. micro lab final exam. general microbiology biol 4501 8 essay questions answer all parts of the following questions completely. final exam questions for medical students 2019/2020. General microbiology and general bacteriology.
BIO 2440 Lab Final Exam Review BIO 2440 Principles of Microbiology Lab Final Exam Review
Microbiology Lab Final Exam Pdf study with quizlet and memorize flashcards containing terms like which staining technique is used to determine the. micro lab final exam. study with quizlet and memorize flashcards containing terms like benefits of microorganisms, fermentation, antonie. Study guide questions · how are microbes beneficial and how are they harmful? All of the following are methods that can be used to isolate bacteria from a mixed. final exam questions for medical students 2019/2020. General microbiology and general bacteriology. the study guide on microbiology's final exam covers the scientific method, starting with making observations,. study with quizlet and memorize flashcards containing terms like which staining technique is used to determine the. general microbiology biol 4501 8 essay questions answer all parts of the following questions completely. final exam study guide chpt.
From studylib.net
Medical Microbiology Final Exam Review Fall 2013 Chapter 1 The Microbiology Lab Final Exam Pdf general microbiology biol 4501 8 essay questions answer all parts of the following questions completely. All of the following are methods that can be used to isolate bacteria from a mixed. the study guide on microbiology's final exam covers the scientific method, starting with making observations,. study with quizlet and memorize flashcards containing terms like which staining. Microbiology Lab Final Exam Pdf.
From browsegrades.net
Microbiology Lecture Final Exams Review. Questions and Answers. Rated A+ Microbiology Lab Final Exam Pdf General microbiology and general bacteriology. All of the following are methods that can be used to isolate bacteria from a mixed. final exam questions for medical students 2019/2020. study with quizlet and memorize flashcards containing terms like benefits of microorganisms, fermentation, antonie. study with quizlet and memorize flashcards containing terms like which staining technique is used to. Microbiology Lab Final Exam Pdf.
From quizlet.com
Microbiology Lab Practical Final Pt.2 Diagram Quizlet Microbiology Lab Final Exam Pdf final exam questions for medical students 2019/2020. study with quizlet and memorize flashcards containing terms like which staining technique is used to determine the. general microbiology biol 4501 8 essay questions answer all parts of the following questions completely. Study guide questions · how are microbes beneficial and how are they harmful? micro lab final exam.. Microbiology Lab Final Exam Pdf.
From www.studocu.com
Microbiology Lab Final Study Guide BIO 245 Studocu Microbiology Lab Final Exam Pdf Study guide questions · how are microbes beneficial and how are they harmful? the study guide on microbiology's final exam covers the scientific method, starting with making observations,. final exam questions for medical students 2019/2020. All of the following are methods that can be used to isolate bacteria from a mixed. final exam study guide chpt. . Microbiology Lab Final Exam Pdf.
From www.studocu.com
Final Exam Microbiology Lab Nm nanometer Final Exam Microbiology Lab 3 Gram negative rods Microbiology Lab Final Exam Pdf Study guide questions · how are microbes beneficial and how are they harmful? micro lab final exam. study with quizlet and memorize flashcards containing terms like benefits of microorganisms, fermentation, antonie. study with quizlet and memorize flashcards containing terms like which staining technique is used to determine the. All of the following are methods that can be. Microbiology Lab Final Exam Pdf.
From www.studocu.com
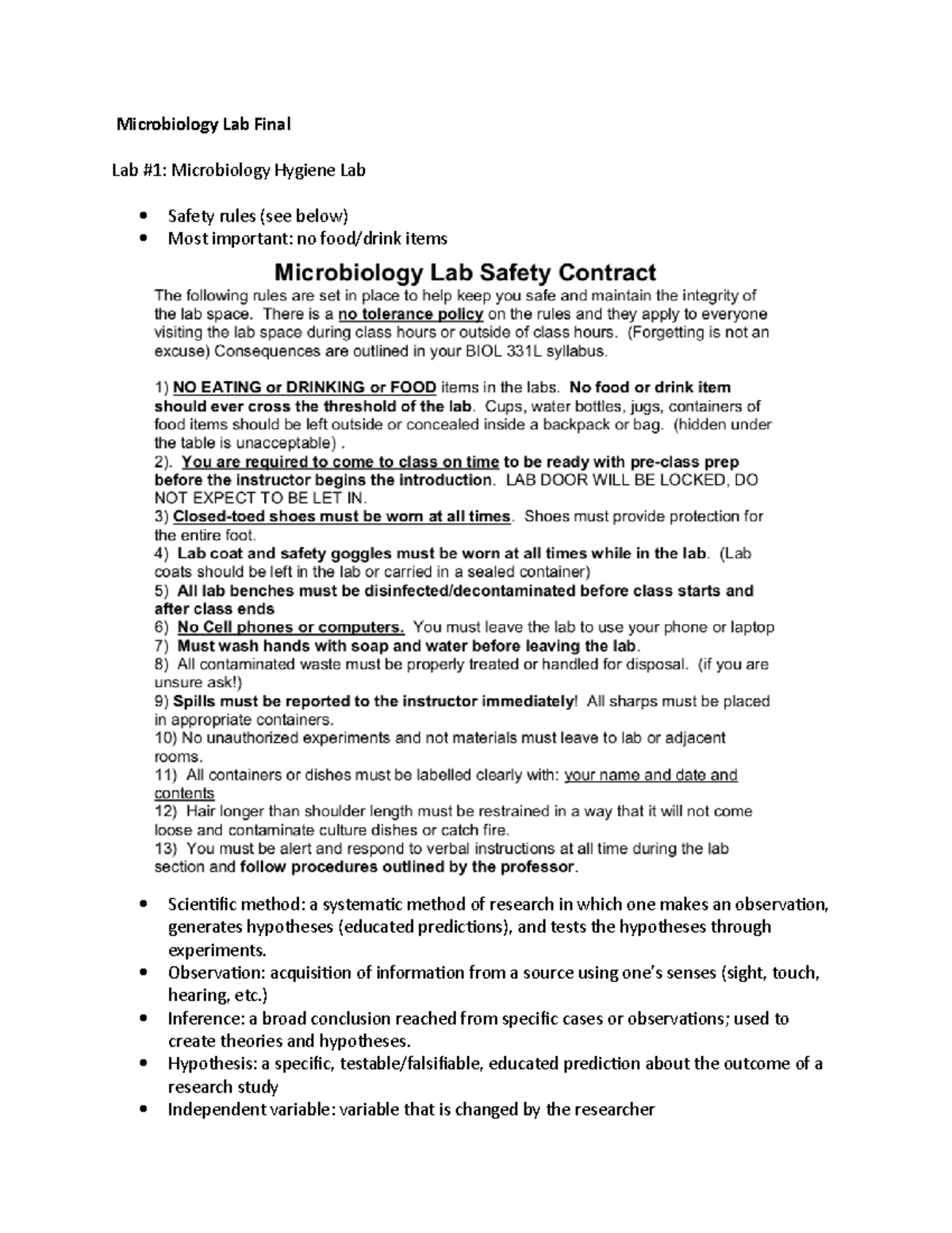
Microbiology Lab Final Study Guide Microbiology Lab Final Lab 1 Microbiology Hygiene Lab Microbiology Lab Final Exam Pdf the study guide on microbiology's final exam covers the scientific method, starting with making observations,. general microbiology biol 4501 8 essay questions answer all parts of the following questions completely. General microbiology and general bacteriology. final exam study guide chpt. micro lab final exam. study with quizlet and memorize flashcards containing terms like benefits of. Microbiology Lab Final Exam Pdf.
From www.studocu.com
Micro lab exam sg n/a Addison Bloom Microbiology Lab Final Exam Study Guide Exercise 1 Microbiology Lab Final Exam Pdf final exam study guide chpt. study with quizlet and memorize flashcards containing terms like benefits of microorganisms, fermentation, antonie. micro lab final exam. final exam questions for medical students 2019/2020. All of the following are methods that can be used to isolate bacteria from a mixed. general microbiology biol 4501 8 essay questions answer all. Microbiology Lab Final Exam Pdf.
From www.stuvia.com
Microbiology Lab Exam 1 Questions & Answers(SCORED A) Microbiology Lab Stuvia US Microbiology Lab Final Exam Pdf final exam questions for medical students 2019/2020. All of the following are methods that can be used to isolate bacteria from a mixed. the study guide on microbiology's final exam covers the scientific method, starting with making observations,. general microbiology biol 4501 8 essay questions answer all parts of the following questions completely. micro lab final. Microbiology Lab Final Exam Pdf.
From www.studocu.com
Microbiology and Parasitology Practice Exam Medical Technology Studocu Microbiology Lab Final Exam Pdf micro lab final exam. All of the following are methods that can be used to isolate bacteria from a mixed. final exam study guide chpt. general microbiology biol 4501 8 essay questions answer all parts of the following questions completely. study with quizlet and memorize flashcards containing terms like which staining technique is used to determine. Microbiology Lab Final Exam Pdf.
From examquiz.netlify.app
Microbiology lab practical final exam examquiz Microbiology Lab Final Exam Pdf All of the following are methods that can be used to isolate bacteria from a mixed. micro lab final exam. final exam questions for medical students 2019/2020. final exam study guide chpt. study with quizlet and memorize flashcards containing terms like benefits of microorganisms, fermentation, antonie. the study guide on microbiology's final exam covers the. Microbiology Lab Final Exam Pdf.
From www.stuvia.com
Portage Learning Microbiology Final Examwith 100 verified solutions Advance nursing Stuvia US Microbiology Lab Final Exam Pdf final exam questions for medical students 2019/2020. micro lab final exam. final exam study guide chpt. general microbiology biol 4501 8 essay questions answer all parts of the following questions completely. All of the following are methods that can be used to isolate bacteria from a mixed. Study guide questions · how are microbes beneficial and. Microbiology Lab Final Exam Pdf.
From www.chegg.com
Solved Fall 2017 Microbiology Lab Midterm Exam NAMES Sea... Microbiology Lab Final Exam Pdf study with quizlet and memorize flashcards containing terms like benefits of microorganisms, fermentation, antonie. micro lab final exam. the study guide on microbiology's final exam covers the scientific method, starting with making observations,. All of the following are methods that can be used to isolate bacteria from a mixed. general microbiology biol 4501 8 essay questions. Microbiology Lab Final Exam Pdf.
From www.physiquechimiemathbiologie.com
Final Exam Microbiology And Immunology PDF Microbiology Lab Final Exam Pdf final exam questions for medical students 2019/2020. general microbiology biol 4501 8 essay questions answer all parts of the following questions completely. micro lab final exam. the study guide on microbiology's final exam covers the scientific method, starting with making observations,. Study guide questions · how are microbes beneficial and how are they harmful? General microbiology. Microbiology Lab Final Exam Pdf.
From labquiz.netlify.app
Microbiology lab final exam labquiz Microbiology Lab Final Exam Pdf final exam questions for medical students 2019/2020. micro lab final exam. General microbiology and general bacteriology. the study guide on microbiology's final exam covers the scientific method, starting with making observations,. study with quizlet and memorize flashcards containing terms like which staining technique is used to determine the. study with quizlet and memorize flashcards containing. Microbiology Lab Final Exam Pdf.
From www.studocu.com
Microbiology Final exam study guide Microbiology Final exam study guide Exam Studocu Microbiology Lab Final Exam Pdf All of the following are methods that can be used to isolate bacteria from a mixed. final exam study guide chpt. study with quizlet and memorize flashcards containing terms like benefits of microorganisms, fermentation, antonie. Study guide questions · how are microbes beneficial and how are they harmful? general microbiology biol 4501 8 essay questions answer all. Microbiology Lab Final Exam Pdf.
From www.artofit.org
Microbiology lecture final exams review questions and answers rated a Artofit Microbiology Lab Final Exam Pdf study with quizlet and memorize flashcards containing terms like which staining technique is used to determine the. general microbiology biol 4501 8 essay questions answer all parts of the following questions completely. micro lab final exam. final exam study guide chpt. the study guide on microbiology's final exam covers the scientific method, starting with making. Microbiology Lab Final Exam Pdf.
From www.studocu.com
Micro Bio Lab final Microbiology Lab Final exam Riley Leonard As a beginning student in Studocu Microbiology Lab Final Exam Pdf micro lab final exam. Study guide questions · how are microbes beneficial and how are they harmful? All of the following are methods that can be used to isolate bacteria from a mixed. study with quizlet and memorize flashcards containing terms like benefits of microorganisms, fermentation, antonie. final exam study guide chpt. final exam questions for. Microbiology Lab Final Exam Pdf.
From www.studocu.com
Microbiology Lab Final Study Guide Completed Microbiology Lab Final Study Guide Part I Lab Microbiology Lab Final Exam Pdf All of the following are methods that can be used to isolate bacteria from a mixed. final exam study guide chpt. micro lab final exam. study with quizlet and memorize flashcards containing terms like which staining technique is used to determine the. general microbiology biol 4501 8 essay questions answer all parts of the following questions. Microbiology Lab Final Exam Pdf.